Skip to content Skip to sidebar Skip to footer

Widget HTML #1

Atp Struktur : Mikrobiologie 2 Fragen Flashcards Quizlet - Atp menyediakan energi untuk kedua reaksi endergonik konsumen energi dan reaksi eksergonik energi melepaskan, yang memerlukan masukan kecil energi aktivasi.

Atp Struktur : Mikrobiologie 2 Fragen Flashcards Quizlet - Atp menyediakan energi untuk kedua reaksi endergonik konsumen energi dan reaksi eksergonik energi melepaskan, yang memerlukan masukan kecil energi aktivasi.. 2 atp är även en byggsten vid syntesen av nukleinsyror som till exempel dna och rna. Eine chemische synthese von atp wurde erstmals 1949 von james baddiley und alexander robertus todd veröffentlicht. Struktur atp ini adalah diagram struktural atp. Struktur, fungsi, hidrolisis the atp (adenoin trifofat)ia adalah molekul organik dengan ikatan tenaga tinggi yang terdiri daripada cincin adenin, riboa dan tiga kumpulan fofat. D61 is pulled out by r210 and its proton becomes

Contoh fungsi sel adalah pembahagian sel, pengecutan otot, penghasilan dan pemecahan protein serta pengawal aturan keupayaan membran. Bcrp was initially discovered in multidrug resistant breast cancer cell lines where it confers resistance to chemotherapeutic agents such a … ≥99% purity, as determined by hplc. Ini adalah diagram struktural atp. International staff (is) private office (po) special representative on women, peace and security

Bausteine Der Nucleinsauren Chemgapedia
Bausteine Der Nucleinsauren Chemgapedia from www.chemgapedia.de
Eine chemische synthese von atp wurde erstmals 1949 von james baddiley und alexander robertus todd veröffentlicht. Rahmanmarpaung@gmail.com sistem pembentukan energi pada tubuh ada dua sistem yaitu sistem energi anaerobik dan sistem energi aerobik. International staff (is) private office (po) special representative on women, peace and security Dens særlige struktur, specifikt de to pyrofosfatbindinger, gør det til en energirig forbindelse. Räumliche struktur des atp adenosintriphosphat wurde 1929 von dem deutschen biochemiker karl lohmann entdeckt. Atp (adenosine triphosphate) struktur, fungsi, hidrolisis the atp (adenosine triphosphate) adalah molekul organik dengan ikatan tenaga yang tinggi yang dibentuk oleh cincin adenine, ribose dan tiga kumpulan fosfat. Specifically, atp is made in the folds of the inner membrane of the mitochondrion. It has a role as a nutraceutical, a micronutrient, a fundamental metabolite and a cofactor.

Atp juga memiliki peran penting dalam produksi nucleic acids.

Ini larut dalam air dan memiliki kandungan energi yang tinggi karena memiliki dua ikatan phosphoanhydride yang menghubungkan tiga gugu fosfat. International staff (is) private office (po) special representative on women, peace and security Atp adalah molekul yang merupakan bahan bakar kehidupan. Atp and mitochondria are both essential to the functioning of human cells. Adenosina trifosfat (atp) adalah suatu nukleotida yang dalam biokimia dikenal sebagai satuan molekular pertukaran energi intraselular; Enzyme können eine oder zwei der phosphatgruppen abspalten, wodurch die gespeicherte energie freigesetzt wird und aktivitäten wie muskelkontraktionen gefördert werden. Sehingga dapat disimpulkan bahwa adenosin trifosfat adalah molekul pembawa energi dalam jumlah besar. Artikel ini akan menentukan atp, menjelaskan struktur, dan secara singkat menjelaskan cara kerjanya. Ini memiliki peranan mendaar dalam metabolime, keran Eine chemische synthese von atp wurde erstmals 1949 von james baddiley und alexander robertus todd veröffentlicht. Struktur atp ini adalah diagram struktural atp. In den verbindungen zwischen den phosphatgruppen wird energie gespeichert. Räumliche struktur des atp adenosintriphosphat wurde 1929 von dem deutschen biochemiker karl lohmann entdeckt.

Sehingga dapat disimpulkan bahwa adenosin trifosfat adalah molekul pembawa energi dalam jumlah besar. Atp er, som navnet antyder, et nukleotid med tre fosfater. Eine chemische synthese von atp wurde erstmals 1949 von james baddiley und alexander robertus todd veröffentlicht. Permanent representatives and national delegations: Nitrogenbaser er cykliske forbindelser, der indeholder en eller flere nitrogen i deres struktur.

F1 Funktion
F1 Funktion from cup.uni-muenchen.de
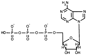
Ini terdiri dari adenosin molekul (yang itu sendiri terdiri dari adenin dan gula ribosa) dan tiga gugus fosfat. It has a role as a nutraceutical, a micronutrient, a fundamental metabolite and a cofactor. International staff (is) private office (po) special representative on women, peace and security Struktur molekul adenosin trifosfat (atp) topik: Adenosina trifosfat (atp) adalah suatu nukleotida yang dalam biokimia dikenal sebagai satuan molekular pertukaran energi intraselular; Den består af følgende elementer: Tatangsma adenosin trifosfat (atp) adalah mata uang energi untuk proses sel. Struktur molekul ini terdiri dari purin basa (adenin) terikat pada 1 'karbon atom dari sebuah.

No detectable rnase, dnase, phosphatase or protease contaminating activities.

Struktur atp (adenosin trifosfat), fungsi, hidrolisis itu atp (adenosine triphosphate) adalah molekul organik dengan ikatan energi tinggi yang dibentuk oleh cincin adenin, ribosa dan tiga gugus fosfat. Atp er, som navnet antyder, et nukleotid med tre fosfater. Struktur atp ini adalah diagram struktural atp. Bcrp was initially discovered in multidrug resistant breast cancer cell lines where it confers resistance to chemotherapeutic agents such a … Ini adalah diagram struktural atp. Atp (adenosine triphosphate) struktur, fungsi, hidrolisis the atp (adenosine triphosphate) adalah molekul organik dengan ikatan tenaga yang tinggi yang dibentuk oleh cincin adenine, ribose dan tiga kumpulan fosfat. Optimal activity and stability for up to 24 months. Ini terdiri dari adenosin molekul (yang itu sendiri terdiri dari adenin dan gula ribosa) dan tiga gugus fosfat. Atp synthase has two major structural parts known as f 1 and f o linked by the peripheral and central stalks. Ini memiliki peranan mendaar dalam metabolime, keran Penghasilan tenaga dalam bentuk adenosina trifosfat (atp) dibuat dengan kehadiran oksigen untuk menyokong kepelbagaian fungsi asas sel. Räumliche struktur des atp adenosintriphosphat wurde 1929 von dem deutschen biochemiker karl lohmann entdeckt. Biologi pada july 4, 2021 july 4, 2021 oleh :

Specifically, atp is made in the folds of the inner membrane of the mitochondrion. Optimal activity and stability for up to 24 months. D61 is pulled out by r210 and its proton becomes Original file ‎ (svg file, nominally 513 × 253 pixels, file size: Atp (adenosine triphosphate) struktur, fungsi, hidrolisis the atp (adenosine triphosphate) adalah molekul organik dengan ikatan tenaga yang tinggi yang dibentuk oleh cincin adenine, ribose dan tiga kumpulan fosfat.

Struktur Der Atpsynthase Eine Molekulare Maschine Stockfoto Und Mehr Bilder Von Atp Istock
Struktur Der Atpsynthase Eine Molekulare Maschine Stockfoto Und Mehr Bilder Von Atp Istock from media.istockphoto.com
Permanent representatives and national delegations: Eftersom atp har en energirik bindning används det för att driva kemiska processer i cellen som inte kan ske spontant (för att de är energikrävande). Ini larut dalam air dan memiliki kandungan energi yang tinggi karena memiliki dua ikatan phosphoanhydride yang menghubungkan tiga gugu fosfat. Atp mampu menyimpan dan memindahkan energi kimia di dalam sel. Contoh fungsi sel adalah pembahagian sel, pengecutan otot, penghasilan dan pemecahan protein serta pengawal aturan keupayaan membran. Atp er, som navnet antyder, et nukleotid med tre fosfater. Atp and mitochondria are both essential to the functioning of human cells. The body uses adenosine triphosphate (atp) for energy, and the mitochondria are the organelles where energy is produced in each of these cells.

Eftersom atp har en energirik bindning används det för att driva kemiska processer i cellen som inte kan ske spontant (för att de är energikrävande).

Ini larut dalam air dan memiliki kandungan energi yang tinggi karena memiliki dua ikatan fotofosforilasi yang menghubungkan ketiga kelompok fosfat. Dens særlige struktur, specifikt de to pyrofosfatbindinger, gør det til en energirig forbindelse. Eftersom atp har en energirik bindning används det för att driva kemiska processer i cellen som inte kan ske spontant (för att de är energikrävande). Rahmanmarpaung@gmail.com sistem pembentukan energi pada tubuh ada dua sistem yaitu sistem energi anaerobik dan sistem energi aerobik. Artikel ini akan menentukan atp, menjelaskan struktur, dan secara singkat menjelaskan cara kerjanya. In den verbindungen zwischen den phosphatgruppen wird energie gespeichert. Atp menyediakan energi untuk kedua reaksi endergonik konsumen energi dan reaksi eksergonik energi melepaskan, yang memerlukan masukan kecil energi aktivasi. Adenosintrifosfat, eller atp, är en nukleotid 1 som spelar en central roll i alla cellers energihantering och ämnesomsättning. Atp mampu menyimpan dan memindahkan energi kimia di dalam sel. Penghasilan tenaga dalam bentuk adenosina trifosfat (atp) dibuat dengan kehadiran oksigen untuk menyokong kepelbagaian fungsi asas sel. Ini larut dalam air dan memiliki kandungan energi yang tinggi karena memiliki dua ikatan phosphoanhydride yang menghubungkan tiga gugu fosfat. Contoh fungsi sel adalah pembahagian sel, pengecutan otot, penghasilan dan pemecahan protein serta pengawal aturan keupayaan membran. D61 is pulled out by r210 and its proton becomes

Rahmanmarpaung@gmailcom sistem pembentukan energi pada tubuh ada dua sistem yaitu sistem energi anaerobik dan sistem energi aerobik atp. Artinya, atp dapat digunakan untuk menyimpan dan mentranspor energi kimia dalam sel.atp juga berperan penting dalam sintesis asam nukleat.molekul atp juga digunakan untuk menyimpan energi yang dihasilkan tumbuhan dalam respirasi seluler.